다층 퍼셉트론(MLP, Multi-Layer Perceptron)은 인공 신경망의 한 형태로, 여러 개의 퍼셉트론 층으로 구성되어 있다. MLP는 입력층, 하나 이상의 은닉층, 출력층으로 이루어져 있으며, 각 층은 다수의 노드(뉴런)로 구성된다. MLP는 단순한 퍼셉트론으로 해결할 수 없는 비선형 문제(XOR 문제)를 해결할 수 있도록 고안되었다.

다층 퍼셉트론의 구조
- 입력층(Input Layer):
- 네트워크의 첫 번째 층으로, 각 노드는 입력 데이터를 받아들인다. 이 층은 단순히 데이터를 다음 층으로 전달하는 역할을 한다.
- 은닉층(Hidden Layers):
- 하나 이상의 은닉층으로 구성될 수 있으며, 각 은닉층은 여러 개의 노드로 구성된다. 은닉층의 노드는 입력 데이터를 처리하고 특징을 추출하는 역할을 한다.
- 은닉층의 노드는 활성화 함수(예: ReLU, Sigmoid, Tanh)를 사용하여 입력 데이터를 비선형 변환한다.
- 출력층(Output Layer):
- 네트워크의 마지막 층으로, 최종 예측 결과를 출력한다. 출력층의 노드 수는 해결하려는 문제의 클래스 수에 따라 달라진다.
- 출력층에서는 소프트맥스(softmax) 함수나 시그모이드(sigmoid) 함수와 같은 활성화 함수를 사용하여 출력값을 확률로 변환한다.
다층 퍼셉트론의 작동 원리
- 순방향 전파(Forward Propagation):
- 입력층에서 시작하여 각 층의 노드는 이전 층의 출력을 입력으로 받아 가중치와 편향을 적용하고, 활성화 함수를 통해 출력을 계산한다.
- 이 과정이 출력층까지 반복되어 최종 예측 결과가 도출된다.
- 역전파(Backpropagation):
- 예측 결과와 실제 레이블 간의 오류를 계산하고, 이 오류를 네트워크의 가중치와 편향을 업데이트하는 데 사용한다.
- 오류는 출력층에서부터 입력층 방향으로 전파되며, 각 층의 가중치와 편향이 경사 하강법(Gradient Descent)과 같은 최적화 알고리즘을 통해 조정된다.
- 역전파는 체인 룰(Chain Rule)을 사용하여 각 가중치에 대한 오류의 기울기를 계산한다.
활성화 함수(Activation Function)
활성화 함수는 노드의 출력 값을 비선형적으로 변환하여 복잡한 패턴을 학습할 수 있도록 한다. MLP에서 자주 사용되는 활성화 함수는 다음과 같다.
Sigmoid:

출력 값을 0과 1 사이로 압축하여 확률로 해석할 수 있다.
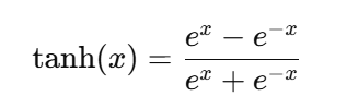
Tanh:

출력 값을 -1과 1 사이로 압축하여, 중심이 0인 비선형 변환을 제공한다.
ReLU (Rectified Linear Unit):

비선형 변환을 제공하며, 학습 속도를 빠르게 한다.
MLP의 학습 과정
- 초기화:
- 가중치와 편향을 임의의 작은 값으로 초기화한다.
- 순방향 전파:
- 입력 데이터를 순방향으로 전파하여 예측 값을 계산한다.
- 손실 함수 계산:
- 예측 값과 실제 레이블 간의 손실을 계산한다. 주로 사용되는 손실 함수로는 평균 제곱 오차(MSE), 교차 엔트로피 손실 등이 있다.
- 역전파:
- 손실을 최소화하기 위해 역전파 알고리즘을 사용하여 가중치와 편향을 업데이트한다.
- 반복:
- 모든 데이터에 대해 위 과정을 반복하여 모델을 최적화한다.
MLP의 응용
다층 퍼셉트론은 다양한 응용 분야에서 사용된다:
- 이미지 분류: 이미지의 픽셀 값을 입력으로 받아 어떤 클래스에 속하는지 예측한다.
- 음성 인식: 음성 신호를 입력으로 받아 텍스트로 변환한다.
- 자연어 처리: 텍스트 데이터를 처리하여 감정 분석, 번역 등의 작업을 수행한다.
- 의료 진단: 환자의 의료 데이터를 기반으로 질병을 예측한다.
다층 퍼셉트론은 인공 신경망의 기초적인 형태로, 현대 딥러닝 모델의 기초를 이루고 있다. 더 복잡한 신경망 구조(예: CNN, RNN)는 MLP의 기본 원리를 확장하여 특정 유형의 데이터를 처리하는 데 특화된 모델들이다.
'컴퓨터공학 > NN' 카테고리의 다른 글
| Forward-Forward Algorithm (0) | 2024.08.16 |
|---|---|
| 역전파(Backpropagation) (0) | 2024.08.15 |
| CNN/RNN/Transformer 특징 장단점 비교하기 (0) | 2024.08.10 |
| 신경망의 기본, 퍼셉트론(Perceptron) (0) | 2024.08.06 |
| NN(Neural Network)이란 (0) | 2024.08.05 |