Seq2Seq 모델은 입력 시퀀스를 고정된 길이의 벡터로 인코딩한 다음, 이를 기반으로 출력 시퀀스를 생성하는 딥러닝 모델 구조이다. 이 구조는 기계 번역, 텍스트 요약, 질의응답 시스템 등과 같은 자연어 처리 작업에서 특히 유용하다. 이제 더 깊이 들어가서 Seq2Seq 모델의 내부 동작, 학습 과정, 그리고 어텐션 메커니즘에 대해 자세히 설명하겠다.
1. Seq2Seq 모델의 기본 구조

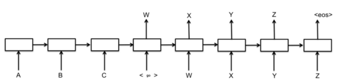
인코더 (Encoder)
- 역할: 인코더는 입력 시퀀스를 받아 이를 고정된 길이의 벡터로 압축하는 역할을 한다. 이 벡터를 '컨텍스트 벡터(context vector)'라고 한다.
- 구조: 인코더는 일반적으로 RNN(Recurrent Neural Network), LSTM(Long Short-Term Memory), 또는 GRU(Gated Recurrent Unit)와 같은 순환 신경망으로 구현된다. 입력 시퀀스의 각 요소(단어 또는 토큰)를 순차적으로 처리하며, 마지막으로 얻어진 은닉 상태(hidden state)가 컨텍스트 벡터로 사용된다.
예를 들어, 입력 시퀀스가 "I love you"라면, 인코더는 이 문장을 차례로 처리하여 마지막에 하나의 벡터로 요약한다. 이 벡터는 문장의 의미를 압축한 것이다.
디코더 (Decoder)
- 역할: 디코더는 인코더가 생성한 컨텍스트 벡터를 받아 이를 기반으로 출력 시퀀스를 생성한다.
- 구조: 디코더 역시 RNN, LSTM, GRU와 같은 순환 신경망으로 구현된다. 디코더는 주어진 컨텍스트 벡터와 이전 시간 스텝에서의 출력을 입력으로 받아, 다음 단어를 예측한다.
예를 들어, "I love you"에 해당하는 프랑스어 번역 "Je t'aime"을 생성할 때, 디코더는 "Je"를 예측한 후, 이를 바탕으로 다음 단어 "t'"를 예측하고, 계속해서 "aime"을 예측한다.


2. Seq2Seq 모델의 학습 과정
Seq2Seq 모델은 지도 학습(supervised learning)으로 학습된다. 즉, 모델은 입력 시퀀스와 그에 대응하는 출력 시퀀스 쌍을 가지고 학습된다. 학습 과정에서 모델은 주어진 입력 시퀀스를 바탕으로 목표 출력 시퀀스를 예측하는 법을 배운다.
- Teacher Forcing: 학습 과정에서 일반적으로 "Teacher Forcing" 기법이 사용된다. 이는 디코더가 예측한 단어를 다음 시간 스텝의 입력으로 사용하는 대신, 실제 정답 단어를 입력으로 사용하는 방법이다. 이렇게 하면 학습이 더 안정적이고 빠르게 진행될 수 있다.
3. 어텐션 메커니즘 (Attention Mechanism)
Seq2Seq 모델의 한계 중 하나는 긴 시퀀스를 처리할 때 발생한다. 인코더가 모든 입력 시퀀스를 단일 벡터로 압축하다 보니, 긴 문장의 경우 정보 손실이 발생할 수 있다. 이 문제를 해결하기 위해 어텐션 메커니즘이 도입되었다.

어텐션의 동작 방식
- 어텐션 가중치: 어텐션 메커니즘은 디코더가 출력 시퀀스의 각 단어를 예측할 때, 인코더의 모든 은닉 상태를 참조하도록 한다. 각 은닉 상태에 대해 가중치(attention weight)를 계산하고, 이 가중치에 따라 인코더의 은닉 상태를 가중합하여 최종적으로 디코더에 제공되는 컨텍스트 벡터를 생성한다.
- 가중치 계산: 가중치는 디코더의 현재 은닉 상태와 인코더의 각 은닉 상태 간의 유사도를 계산하여 결정된다. 이 계산은 주로 소프트맥스(softmax) 함수로 처리되어, 모든 가중치의 합이 1이 되도록 만든다.
어텐션이 적용된 Seq2Seq 모델의 장점
- 긴 문장 처리 능력: 어텐션 메커니즘을 통해 디코더는 인코더의 특정 부분에 더 집중할 수 있어, 긴 문장에서도 중요한 정보를 놓치지 않고 처리할 수 있다.
- 성능 향상: 어텐션을 사용하면 기계 번역, 텍스트 요약 등에서 모델의 성능이 크게 향상된다.
4. Seq2Seq 모델의 실제 활용
기계 번역 (Machine Translation)
가장 대표적인 활용 예시는 기계 번역이다. 예를 들어, 영어 문장을 프랑스어로 번역할 때, Seq2Seq 모델은 입력된 영어 문장을 프랑스어로 변환한다. 여기서 어텐션 메커니즘은 특히 긴 문장의 경우 번역의 정확성을 높이는 데 큰 역할을 한다.
텍스트 요약 (Text Summarization)
Seq2Seq 모델은 긴 문서를 요약된 짧은 텍스트로 변환하는 데에도 사용된다. 입력 시퀀스는 긴 문서, 출력 시퀀스는 요약된 문장이다.
대화 시스템 (Dialogue Systems)
Seq2Seq 모델은 챗봇과 같은 대화 시스템에서도 사용된다. 사용자의 입력 문장을 받아 적절한 응답을 생성하는 데 사용될 수 있다.
5. 변형된 Seq2Seq 모델
Transformer 모델
Transformer 모델은 Seq2Seq 구조의 변형 중 하나로, 어텐션 메커니즘을 더욱 발전시켜 순환 신경망(RNN)을 아예 사용하지 않고도 시퀀스 변환 문제를 해결할 수 있도록 한다. Transformer는 더욱 병렬화가 가능하여, 대규모 데이터 학습에서 뛰어난 성능을 보인다.
Seq2Seq 모델은 입력 시퀀스를 고정된 길이의 벡터로 압축한 후, 이를 기반으로 출력 시퀀스를 생성하는 모델 구조이다. 인코더와 디코더로 구성되며, 어텐션 메커니즘을 통해 긴 시퀀스에서도 효율적으로 동작할 수 있다. 다양한 NLP 작업에서 중요한 역할을 하며, 최근에는 Transformer와 같은 더욱 발전된 모델이 등장하면서 자연어 처리 분야에서 큰 영향을 미치고 있다.
'컴퓨터공학 > RNN' 카테고리의 다른 글
| LSTM 자세히 이해하기 (0) | 2024.09.15 |
|---|---|
| RNN을 자세히 이해하기 (0) | 2024.08.29 |
| GRU(Gated Recurrent Unit) (0) | 2024.08.27 |
| LSTM(Long Short-Term Memory) (0) | 2024.08.27 |
| RNN(Recurrent Neural Network)이란 (0) | 2024.08.06 |