1. (x-a)의 제곱을 미분하면

2. sign을 미분하면 cosign

3. cosign 미분하면 -sign

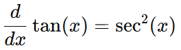
4. tan를 미분하면


5. tanh를 미분하면

6. Sigmoid함수를 미분하면

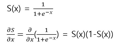
7. MSE를 미분하면

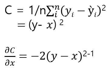
8. ReLU함수를 미분하면,

9. Softmax를 미분하면,

10. Cross-Entropy + Softmax 미분

'컴퓨터공학 > 기초' 카테고리의 다른 글
| 로그함수(logarithmic function) (0) | 2024.08.28 |
|---|---|
| 연쇄 법칙(Chain Rule) 알아보기 (0) | 2024.08.28 |
| 인공지능에서의 행렬 (0) | 2024.08.28 |
| 인공지능에서의 벡터 (0) | 2024.08.28 |